304 Chapter 8
Copyright © 2017 Pearson Education, Inc.
f.
A single bond formed by an
sp
2
—
sp
2
overlap is longer than a single bond formed
by an
sp
2
—
sp
3
overlap.
T F
g.
The thermodynamically controlled product is the major product obtained when the
reaction is carried out under mild conditions.
T F
h.
1,3-Hexadiene is more stable than 1,4-hexadiene.
T F
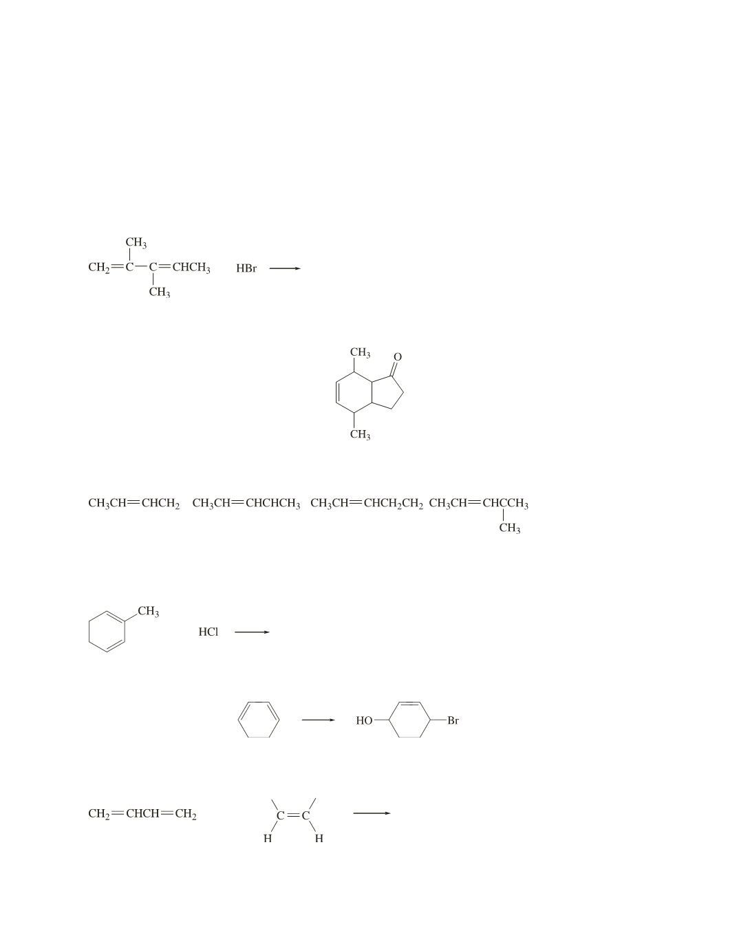
11.
Draw the four products that will be obtained from the following reaction. Ignore stereoisomers.
+
12.
What reactants are necessary for the synthesis of the following compound via a Diels–Alder reaction?
13.
Rank the following carbocations from most stable to least stable:
+
+
+
+
14.
a.
Draw the predominant 1,2- and 1,4-products of the following reaction.
b.
Which is the product of thermodynamic control?
+
15.
What reagents can be used to convert the given starting material into the given product?
16.
Draw the product of the following reaction, showing its configuration:
+
HOOC
COOH




