536 Chapter 16
Copyright © 2017 Pearson Education, Inc.
+
H
3
O
+
+
CHCH
3
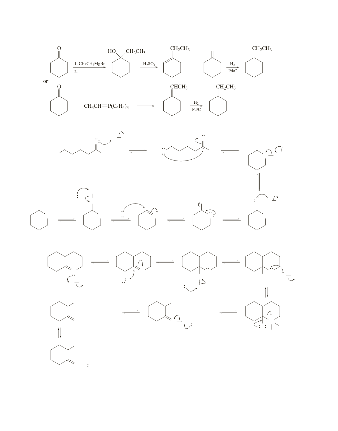
61.
O
OH
H
+
B
O
OH H B
+
O
OH
+
H
O
+
+
H
2
O
CH
3
OH
O
OCH
3
H
+
B
O
OCH
3
HB
+
H
O
HO
H B
+
H
OH
HO
+
b.
N
N
H
+
H B
+
H
2
O
N
H HO
+
+
H B
N
HO
H
H B
+
N
O
H H
H
+
+
O
CH
2
CH
2
CH
2
NH
2
H
+
B
B
O HB
CH
2
CH
2
CH
2
NH
2
+O
CH
2
CH
2
CH
2
NH
3
i.
a.




