Chapter 10 387
Copyright © 2017 Pearson Education, Inc.
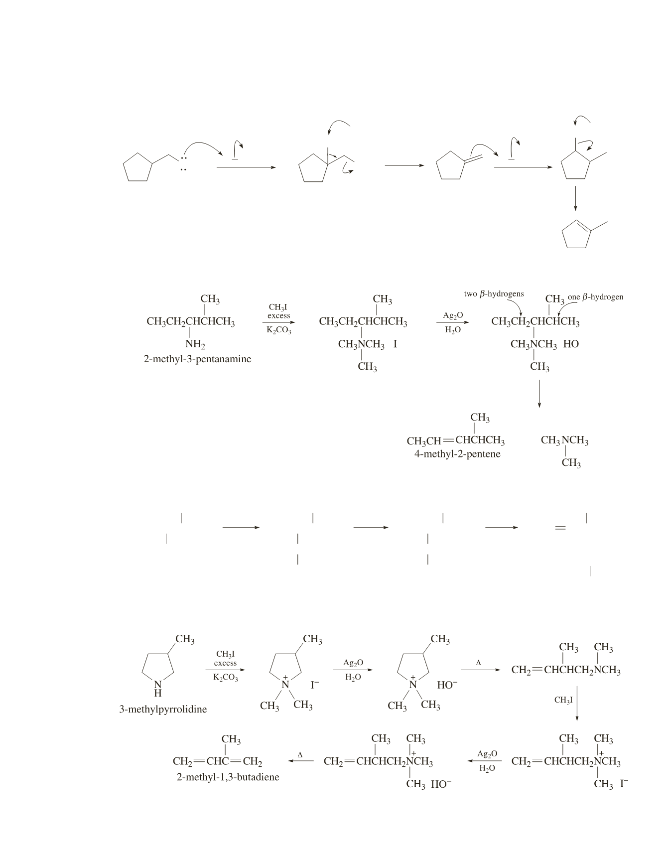
86.
:B is any base in the solution
1
HSO
4
-
, H
2
O, ROH
2
.
B
..
H
H OSO
3
H
H OSO
3
H
B
+
H
OH
H
OH
..
+
87.
a.
The primary amine is 2-methyl-3-pentanamine.
+
−
+
−
+
b.
The primary amine is 3-methyl-2-butanime.
CH
3
CH
3
I
excess
K
2
CO
3
CH
3
CHCHCH
3
Ag
2
O
H
2
O
NH
2
CH
3
CH
3
CHCHCH
3
CH
3
NCH
3
CH
3
I
−
+
CH
3
CH
3
CHCHCH
3
CH
3
NCH
3
CH
3
HO
−
+
CH
3
CH
3
NCH
3
CH
3
+
CH
2
CHCHCH
3
c.
The secondary amine is 3-methylpyrrolidine.




