Table of Contents Table of Contents
Previous Page  653 / 912 Next Page
Basic version Information
Show Menu
Previous Page 653 / 912 Next Page
Page Background

Chapter 18 645

Copyright © 2017 Pearson Education, Inc.

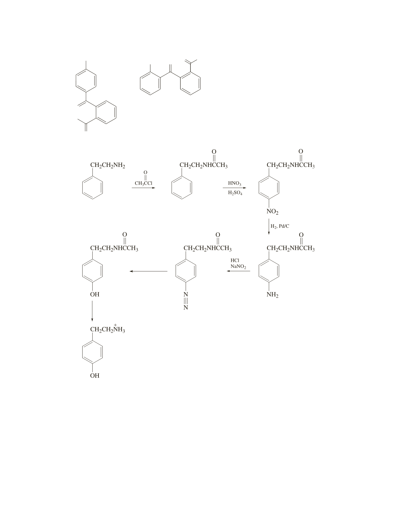
100.

+

CH

3

O O O

CH

3

O

O

O

101.

a.

+

Cu

2

O

Cu

(

NO

3

)

2

,

H

2

O

or

H

3

O

+

,

0

°

C

HCl, H

2

O,