Chapter 18 647
Copyright © 2017 Pearson Education, Inc.
c.
−
−
d.
−
Raney Ni
e.
+
−
Raney Ni
pyridine
C
H O
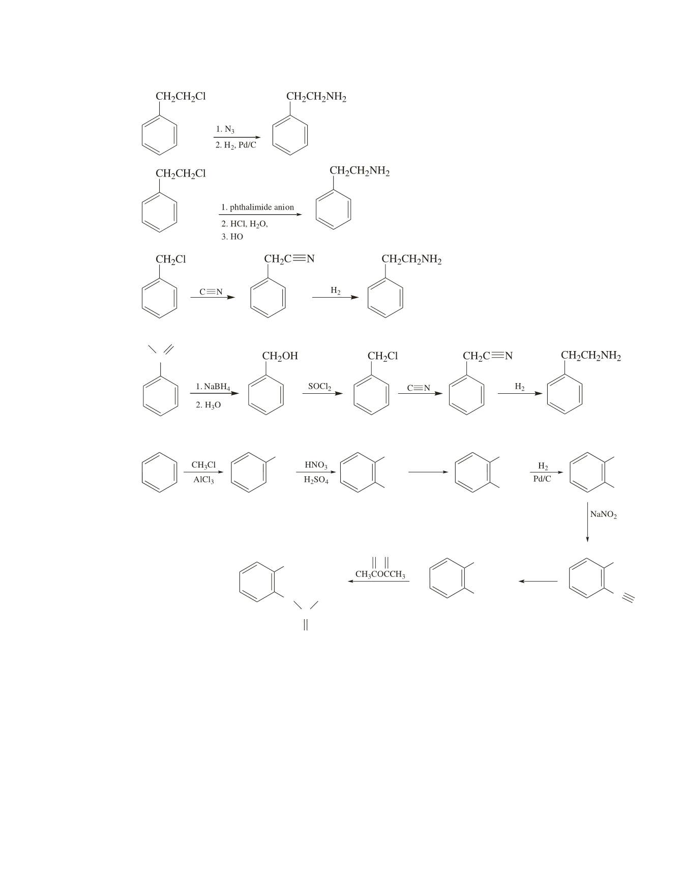
102.
a.
CH
3
CH
H
2
CrO
4
3
NO
2
COOH
NO
2
COOH
NH
2
COOH
N
N
Cl
−
+
COOH
OH
0
°
C
COOH
O CH
3
O O
HCl
C
O
Cu
2
O
Cu
(
NO
3
)
2
,
H
2
O
or
H
3
O
+
,




